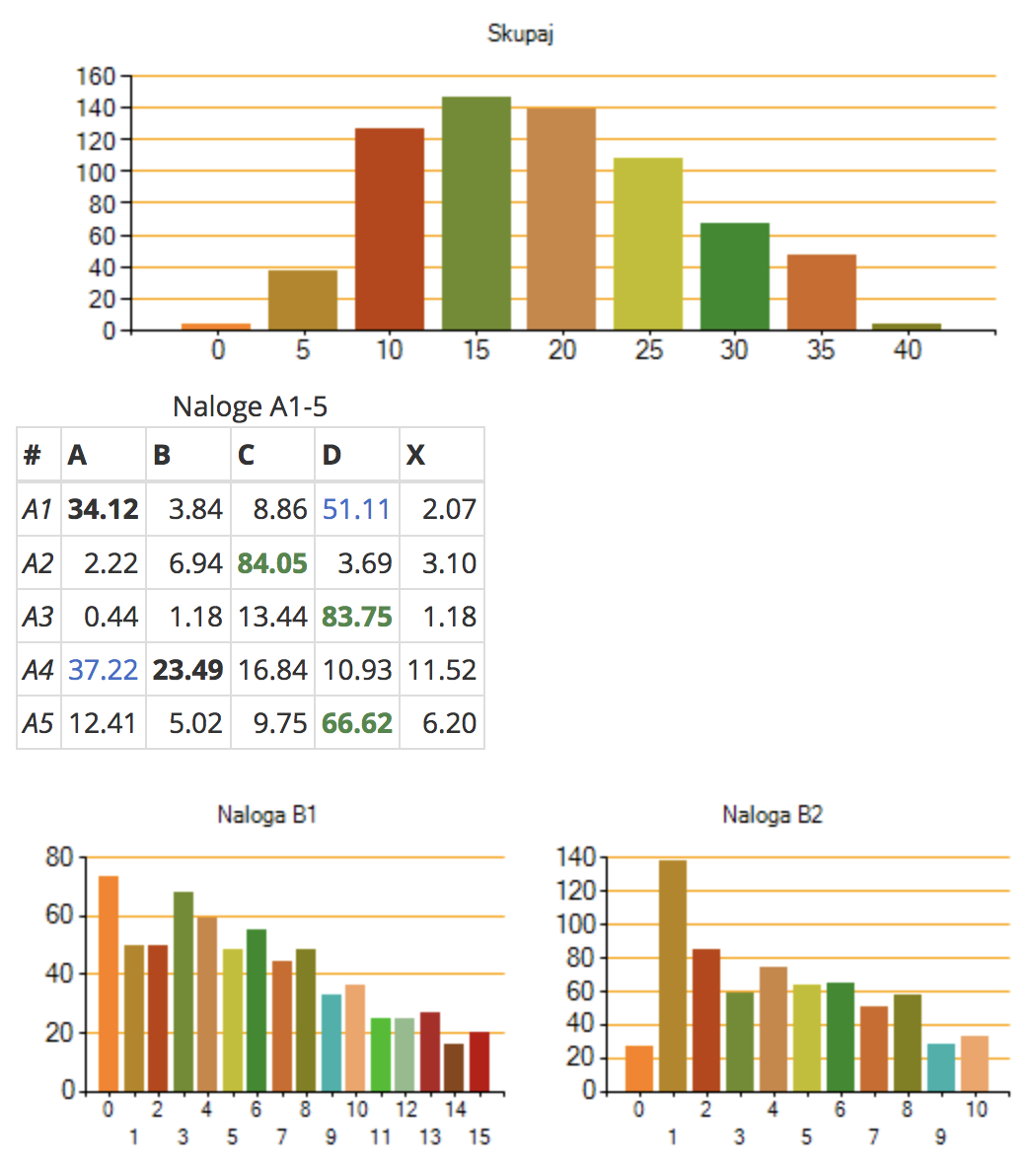
... in še statistika s področnega tekmovanja
Na spodnjih diagramih so porazdelitve udeležencev področnega tekmovanja iz fizike v letošnjem šolskem letu po skupnih doseženih točkah in po doseženih točkah pri vsaki od obeh besedilnih nalog.
Osmošolci so se pri nalogi B1 ukvarjali s policami na elastičnih vrvicah, pri nalogi B2 pa z zaporedjem preslikave skozi zbiralno lečo in odboja na ravnem zrcalu.
V razporedelnici so deleži tekmovalcev, ki so pri izbirnih nalogah izbirali posamezne odgovore.
OSMOŠOLCI:

Devetošolci so pri nalogi B1 obravnavali klasičen primer pospešenega gibanja klade in uteži, pri nalogi B2 pa so se ukvarjali s padalcem in zračnim uporom.
DEVETOŠOLCI:




